Figure 1: Artist’s impression of the warped and twisted Milky Way disk
Our Milky Way galaxy’s disk of stars is anything but stable and flat. Instead, it becomes increasingly twisted far away from the Milky Way’s center, according to astronomers from Peking University’s Kavli Institute for Astronomy and Astrophysics and the Chinese Academy of Sciences. From a great distance, our galaxy would look like a thin disk of stars that orbit once every few hundred million years around its central region, where hundreds of billions of stars provide the gravitational ‘glue’ to hold it all together.
But the pull of gravity becomes weaker far away from the Milky Way’s inner regions. In the galaxy’s far outer disk, the hydrogen atoms making up most of the Milky Way’s gas disk are no longer confined to a thin plane, but they give the disk an S-like, warped appearance.
“It is notoriously difficult to determine distances from the Sun to parts of the Milky Way’s outer gas disk without having a clear idea of what that disk actually looks like,” says Dr. Xiaodian Chen, a researcher at the Chinese Academy of Sciences in Beijing (the former PhD students of PKU) and author of an article published in Nature Astronomy today. “However, we recently published a new catalogue of periodic variable stars known as classical Cepheids, for which distances as accurate as 3 to 5% can be determined.” That database allowed the team to develop the first accurate three-dimensional picture of our Milky Way out to its far outer regions.
Classical Cepheids are young stars that are some four to 20 times as massive as our Sun and up to 100,000 times as bright. Such high stellar masses imply that they live fast and die young, burning through their nuclear fuel very quickly, sometimes in only a few million years. They show day- to month-long pulsations, which are observed as changes in their brightness. Combined with a Cepheid’s observed brightness, its pulsation period can be used to obtain a highly reliable distance.
“Much of our Milky Way is hidden by dust, which makes it difficult to measure the distances to stars. Fortunately, observations at long infrared wavelengths can circumvent this problem.” Says Dr. Shu Wang from Peking University’s Kavli Institute for Astronomy and Astrophysics, co-author on the paper.
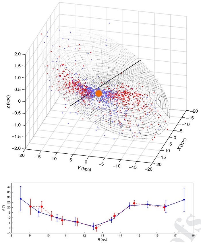
The team used their database containing 1339 Cepheids that light up the dark Milky Way. Our galaxy shows a clearly warped feature: the stellar disk flares up on the left and down on the right, as seen from the Milky Way’s center.
“Somewhat to our surprise, we found that in 3D our Cepheid stars and the Milky Way’s gas disk follow each other closely. This offers new insights into the formation of our home galaxy,” says Macquarie University’s Professor Richard de Grijs, senior co-author on the paper. “Perhaps more important, in the Milky Way’s outer regions, we found that the S-like stellar disk is warped in a progressively twisted spiral pattern.”
This reminded the team of earlier observations of a dozen other galaxies which also showed such progressively twisted spiral patterns. Combining their new results with those other observations, the researchers concluded that the Milky Way’s warped spiral pattern is most likely caused by ‘torques’ – or rotational forcing – by the massive inner disk.
“This new morphology provides a crucial updated map for studies of our galaxy’s stellar motions and the origins of the Milky Way’s disk,” according to Professor Licai Deng, senior researcher at the Chinese Academy of Sciences and co-author on the paper.

Figure 2: Top: Three-dimensional distribution of the classical Cepheid variable stars in the Milky Way’s warped disk (red and blue points) centred on the location of the Sun (shown as a large orange symbol). The units ‘kpc’ (kiloparsecs) along the image’s three axes are used by astronomers to indicate distances on galaxy-wide scales. One kiloparsec is equivalent to about 3,262 light years. Lower: Precession of the warp’s line of nodes with Galactocentric radius.
The paper was published on Nature Astronomy on Feb. 5, 2019.
Contact:
Shu Wang
KIAA, Peking University
shuwang@pku.edu.cn
The full paper please refers to: https://www.nature.com/articles/s41550-018-0686-7